中文
摘要:塑料購物袋,也稱馬夾袋、手提袋、塑料袋,也因為使用方便,已經普遍應用于我們的生活之中。常見塑料購物袋以樹脂為主要原料生產的薄膜、經熱合或粘合等制袋工藝加工而成。市場需求量大,應用行業多,存在的問題也跟隨出現,近期山東省市場監管局日前對全省60家企業生產的60批次塑料袋產品進行了監督抽檢,檢測發現,部分企業產品不合格被點名通報,那如何來控制塑料包裝袋的質量,我們今天結合山東德瑞克檢測儀器來一一分析。
關鍵詞:塑料購物袋熱合強度、購物袋落鏢沖擊、馬夾袋厚度測試、手提袋測試、塑料袋檢測
1、意義

塑料購物袋目前市場上產品層次不齊,合格的包裝袋應該標注依據國家標準,承重量,等級要求,企業相關信息,批號,生產日期等相關信息,對產品有明確的標識和使用范圍。比如是否是食品級包裝袋,是否可以二次使用等。在使用時,承重量,跌落性能,袋子材料的熱合強度,漏水性,落鏢沖擊性能每一項都有相關標準的檢測要求,如何沒有檢測,沒有管控,就會導致在使用中出現產品跌落、損壞等問題。

圖 2 塑料購物袋

圖2 塑料手提袋使用
2、執行標準
GB/T21661-2008《塑料購物袋》
福利:文末提供各項標準下載
3、測試項目
3.1 測試項目——厚度測試
3.1.1厚度是購物袋原材料基礎性能,厚度不均勻對購物袋的整體性能造成影響,而造成袋子厚薄不均的主要原因是生產工藝不完善。袋子整體性能造成影響,還會增加企業的生產成本。國標對不同厚度的購物袋,有嚴格的把控要求,如圖3

圖3 厚度偏差要求
3.1.2測試儀器
DRK203C薄膜測厚儀,接觸式測量方式,適用于量程范圍內的塑料薄膜、薄片、鋁箔等各種材料厚度測量。
點擊圖片查看具體參數
3.1.3儀器參數
?測量范圍:0~3mm(常規)
?測量行程:18mm
?分辨率:0.1μm
?測量速度:5次/min(可調)
?測頭移動速度:3mm/s
?測量壓強:2kpa、20kpa、50kpa、100kp
?接觸面積:28mm (直徑6mm) 非標可定制
3.1.4測試要求
將塑料購物袋打開,將其剖開后,單面鋪開,用測厚儀測量單面薄膜厚度。按GT/T6672-2001的規定進行測量,沿塑料購物袋的寬度方向均勻測量8點,將記錄的數據按公式1,公式2計算厚度極限偏差和厚度平均偏差。塑料購物袋有壓花或壓紋時,應將壓花或壓紋平整地壓平后測定壓平處厚度。
3.1.5測試結果計算
厚度極限偏差計算公式

式中:△e——厚度極限偏差,單位為毫米(mm);
emin或max——實測最小或最大厚度,單位為毫米(mm);
e0——公稱厚度,單位為毫米(mm)。
3.2 測試項目——提吊試驗
3.2.1 測試儀器
提袋疲勞試驗機,振幅30mm±2mm,頻率2Hz~3Hz。

3.2.2試驗要求
將相當于公稱承重的模擬物(如沙子、米粒等)裝入袋中,然后懸掛在試驗機上,試驗3600次,觀察袋體及提帶有無損壞。試驗數量三個,均無破裂為合格。
3.3 測試項目——跌落試驗
3.3.1試驗要求
將相當于公稱承重的模擬物(如沙子、米粒等)裝入袋中,用膠粘帶將袋口封上,袋底離地0.5m高處自由落下,試驗地面應為平整硬地面,觀察袋體是否損壞。試驗數量三個,均無破裂為合格。
3.3.2相關設備
DRK124跌落試驗機
點擊圖片查看具體參數
3.3.3儀器參數
?跌落高度:1.5 米
?雙翼面積:1500*1500
?底板面積:1600*1600
?承受重量:200kg
3.4測試項目——漏水性
3.4.1試驗要求
將塑料購物袋裝入五分之一容積的清水,水溫23℃±2℃,保持靜置1分鐘后,觀察塑料購物袋底部是否有滴落水珠,并記錄所觀察現象,試驗數量三個。三個袋子均無漏水為合格。
3.5測試項目——熱合強度
3.5.1測試儀器
DRK101電子拉力試驗機,適用于塑料薄膜、復合膜、膠粘制品、橡膠、紙張纖維等產品的拉伸、剝離、熱封、撕裂、穿刺力、伸長率等性能測試??啥ㄖ撇煌瑠A具實現不同測試項目。
點擊圖片查看具體參數
3.5.2儀器參數
2規格:500N(標配) 50N、100N、5000N(可選)
2精度:優于0.5級
2力值分辨率:0.1N
2形變分辨率:0.001mm
2試驗速度:1~500mm/min(無級調速)
2試樣寬度:30mm(標配夾具)50mm(可選夾具)
2試樣夾持:手動
2行程:700mm(標配) 400mm、1000 mm(可選)
3.5.3測試要求
熱合強度按QB/T2358-1998進行,試驗速度為300mm/min±50 mm/min,測試結果應滿足以下表格要求。
公稱承重m/kg 熱合強度/(N/15mm)
公稱承重m/kg | 熱合強度/(N/15mm) |
m<6 | 6.0 |
6≤m≤10 | 8.0 |
m>10 | 10.0 |
3.6測試項目——落鏢沖擊
3.6.1測試儀器
DRK135A 落鏢沖擊試驗儀用于厚度小于1mm的塑料薄膜或薄片在給定高度的自由落鏢沖擊下,測定50%塑料薄膜或薄片試樣破損時的沖擊質量和能量。
點擊圖片查看具體參數
3.6.2儀器參數
?測量方法:A 法、B 法(可選)
?測試范圍:A 法:50~2000g B 法:300~2000g
?測試范圍:測試精度:0.1g(0.1J)
?試樣裝夾:氣動
?氣源壓力:0.6MPa(氣源用戶自備)
?氣源接口:Ф8mm 聚氨酯管
?試樣尺寸:>150mm×150mm
3.6.3測試要求
按GB/T 9639-1988 A法規定進行落鏢質量沖擊試驗,采用單片試樣,落鏢質量見下表,數量為10片。
不破列數≥8個。
公稱承重m/kg | 熱合強度/(N/15mm) |
m<6 | 50 |
6≤m≤10 | 70 |
m>10 | 100 |
3.7測試項目——印刷質量
3.7.1測試要求
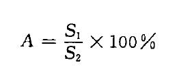
在袋子印刷油墨較多部位上切取試樣。印刷面朝上,用透明膠帶將試樣四邊固定在平滑的臺面上露出試驗部位:100mmX100mm。操作過程中不要用手接觸測量部位,用180°剝離強度為6.5N/15mm±1.0N/15mm的膠粘帶,取寬15mm,長175mm,貼于試樣印刷面上,在75mm處折成180°,并在粘貼部位用為1kg壓輥來回滾壓一次。然后用手快速進行剝離,剝離后用分度值為0.5mm的鋼板尺測量印刷油墨剝離面積與殘留面積,按以下計算印刷油墨玻璃率。試驗數量三個,取其平均值,結果修約至1%。

式中:A—— 印刷油墨剝離率,%
S1—— 剝離面積,單位為平方毫米(mm2)
S2—— 殘留面積,單位為平方毫米(mm2)
4、結論
關于塑料購物袋的質量控制檢測方案以及解決辦法我們通過德瑞克儀器一一分析,生產企業在生產過程中需要不斷的對自身產品進行測試來把控產品質量,提升自己產品品質,贏得客戶和市場的認可才是最終目的。山東德瑞克同時承接各個企業寄樣檢測,為各個合作伙伴提供產品檢測數據,德瑞克實驗室同時還涵蓋紙張、橡膠、薄膜類各種檢測設備,滿足不同客戶采購和檢測。
山東德瑞克期待與行業中的企事業單位增進技術交流與合作!
附件:
塑料購物袋質量控制解決方案標準下載:
QBT 2358-1998 塑料薄膜包裝袋熱合強度試驗方法.pdf
GBT 6672-2001 塑料薄膜與薄片厚度的測定 機械測量法.pdf
GBT 9639.1-2008塑料薄膜和薄片 抗沖擊性能試驗方法 自由落鏢法 第1部分:梯級法.pdf
版權所有 @ 山東德瑞克儀器股份有限公司 備案號:魯ICP備12028852號-4 實驗室一站式服務,實驗室設計,試驗儀選配.(魯)-非經營性-2021-0099